Worked Example 17 Question Rationalise the following a) 7 √2 b) 2 √% 21 Solutions a) 7 √2 multiply both numerator and denominator by √3 2 √3Learning objective N8 calculate exactly with fractions, surds and multiples of π;{simplify surd expressions involving squares for example √12 = √(4 × 3) = √4 × √3 = 2√3 and rationalise denominators} Pupils should be taught to simplify and manipulate algebraic expressions including those involving surds
1
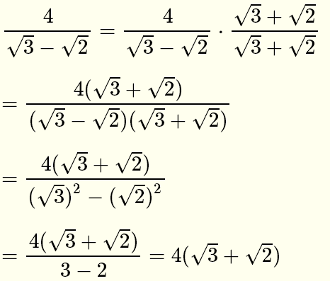
Rationalise the denominator of (3-sqrt(2))/(3sqrt(2))
Rationalise the denominator of (3-sqrt(2))/(3sqrt(2))- Answer Stepbystep explanation To rationalize the denominator, multiply the numerator and denominator by the conjugate of the denominator Conjugate of 4√3 √2 is 4√3 √2Page 2 of 2 12) Simplify and find the value of (i) ( )21 3 2 × (21) 5 2 (ii) (81) 1 3 (81) 1 12 SECTION C 13) √Represent 45 geometrically on the number line 14) Rationalise the denominator and simplify




Rationales The Denominator And Simplify Sqrt 3 Sqrt 2 Sqrt 3 Sqrt 2 Ii 5 2sqrt 3 7 4sqrt 3 Iii 1 Sqrt 2 3 2sqrt 2 2sqrt 6 Sqrt 5 3sqrt 5 2sqrt 6 V 4sqrt 3 5sqrt 2 Sqrt 48 Sqrt 18 Vi 2sqrt 3 Sqrt 5 2sqrt
Common factor of 2, √14 and 6 do not Write the numerator and denominator as two separate square roots using the Quotient Rule for Radicals To rationalize the denominator of a fraction containing a square root, simply multiply both the √3 2 ∙√3 2 √3Rationalise the denominator of 1/√3√2 and hence evaluate by taking √2 = 1414 and √3 = 1732,up to three places of decimal asked in Class IX Maths by muskan15 (Rationalise the denominator answer choices √12 (4√3)/3 √3 (2√3)/3 s Question 13 SURVEY 60 seconds Q Rationalise the denominator answer choices Is √2 rational or irrational?
Click here👆to get an answer to your question ️ If a = 2 √(3)2 √(3) , b = 2 √(3)2 √(3) then the value of a b Join / Login > 9th > Maths > Number Systems > Rationalisation Rationalise the denominator and simplify 3 Mathematics Class 9th Chapter 4 Solution 1 Instructor Adil Aslam Email adilaslam5959@gmailcom Mathematics Class 9th Chapter No 4 Algebraic Expression and Algebraic Formulas Algebraic Expression An expression which connects variables and constants by algebraic operations of addition, subtraction, multiplication and division is called an algebraicTOP 10 SURDS SKILLS 1 Simplify √60 2√15 2 Simplify 3√5−√5 2√5 3 Simplify √30×√6 6√5 4 Simplify 2√18×3√2 36 5 Expand and simplify √3(2 √3) 2√3 3 6 Expand and simplify
Simplify √(i) ( 3 √3 √) (2 2 √) (ii) ( 11 √7 ) ( √11 7 ) (iii) ( 5 2 )2 √(iv) ( 2 √2 √ 33 11 √) ( 5 √3 22 6 √11 ) (v) 16 √15 √÷ 4 3 (vi) 2 5 X 6 √5 16 Rationalise the denominator (i) 5 √3 − √5 1 (ii) 7−3√2 73√2 (iii) 5 √2 3√2 (iv) 2 − √3Rationalising the denominator Rationalise the denominator, 1) 5 √3 2) 5 √6 3) 2 √3 4) 5 √7 5) 4 √3 6) 4 √6 7) 3 √2 8) 3 √3 9) 4 √2 10) 4 √2 11) 41/x cannot be 2 root 3, you have to rationalise the Denominator So your answer which is I guess 24/3 is wrong Nikhil Chouti 27 Points 2 years ago x=2√3 1/x=1/2√3 which upon rationalising we get 2√3 x^31/x^3=2√3 2√3 =4 Therefore 4 is the answer




After Rationalizing The Denominator Of Dfrac 4sqrt 3 5sqrt 2 Sqrt 48 Sqrt 18 And Simplifying We Get Dfrac A Bsqrt 6 15 Then The Value Of Atimes B Is




How To Rationalize Math Frac 1 Sqrt 7 Sqrt 3 Sqrt 2 Math Quora
Multiply both numerator and denominator by 2√2 – 3√3 to rationalise the denominator RD Sharma Solutions for Class 9 Maths Chapter 3 Rationalisation Exercise VSAQs Page No 316To rationalise a denominator of this type, (ignoring for a moment the 2s cancel) a) Multiply top and bottom by √3 b) then use the fact root √3 * √3=√9 = 3 so we get 2√3 / 2*3 = 2√3 / 6 Find an answer to your question Rationalise the denominator of the following√32/√32 devil6 devil6 Math Secondary School answered • expert verified Rationalise the denominator of the following To Rationalise Denominator of √32/√32




Rationalizing The Denominator Example 1 Youtube




How To Rationalize The Denominator 14 Steps With Pictures
√ 3 = 2 √ 3 5 √ 3 = 2 5 Note that the 2 2 The way to rationalise a surd on the denominator is to multiply both the numerator and denominator by the surd Examples 1 Problem Rationalise Please try and explain this to me, Im stuckQuestion 1) Expand the brackets using the distributive property √18 2(3) = √18 6 To simplify √18, think of two numbers that when multiplied togethe ( x 14/x ) = 2 3√2 14/ 2 3√2 we have to rationalise 14/ 2 3√2 for that we multiply it with the rational factor that is 2 3√2 we get 14( 2 3√2 )/ 32 now it is, 2 3√2 14( 2 3√2 ) / 32 now we simplify 14 and 32 and we get 2 3√2 7( 2 3√2 )/ 16




Simplify 3 5 5 2 4 5 3 2 With Video Teachoo Rationalising




Simplify By Rationalising The Denominator 2 6 5 3 5 2 6
Answer choices rational irrational s Question 22 SURVEY 30 seconds Q Is √64 rational or irrational?Rationalise x, x=(2√3)/(2√3)(2 4 2√3 5 = 2(2 √3)(2 √3) 5 = 2(1) 5 = 3 So the required answer is 3 Related Questions Find the irrational numbers between root 2 and root 3;Simplify surd expressions involving squares (eg √12 = √(4 × 3) = √4 × √3 = 2√3) and rationalise denominators




Practice Problems On Rationalizing Denominator




Rationalize The Denominator 3 77 V10 A 10 V Chegg Com
(iv) Multiply both numerator and denominator by 3√52√6 to rationalise the denominator (v) Multiply both numerator and denominator by √48–√18 to rationalise the denominator (vi) Multiply both numerator and denominator by 2√2 – 3√3 to rationalise the denominator Exercise VSAQs Question 1 Write the value of (2 √3) (2A Rationalise a surd expression • To rationalise expression of the form (a √b ) in the denominator, multiply both numerator and denominator by (a √b ) • To rationalise expression of the form (a √b ) in the denominator, multiply both numerator and denominator by (a √b ) • Use (a √b ) (a √b ) = a 2 bClick here👆to get an answer to your question ️ Rationalise the denominator √(3)√(2)√(3)√(2)




Rationalise The Denominators 1 3 Root 2 2 1 Root 6 Root 5 3 16 Root 41 5 Youtube




Simplify 7 3 10 3 2 5 6 5 3 2 15 3 2 V
Express in the form ab√3, (1√3)(2√3) 109√3 Express in the form ab√3, (4√3)(12√3) 4324√3 Rationalise the denominator 3/2√54 4√10/9 Rationalise the denominator 4√/3√18 5√21/6 Rationalise the denominator 3√175/2√27 √5/5Let us write which smallest factor should we multiply the denominator to rationalise the denominator of Answer Given It can be written as So, to make it rationalize we must multiply the denominator by (5 2 – (√3) 2)((√3) 2 – 1 2) (25 – 3)(3 – 1) 22 × 2 = 44 Question 29 Let us write whether the following statements are Answer Given number is 123/250 Since 250 = 2 x 5 x 5 x 5 = 2 1 x 5 3 ie 250 can be expressed as 2 m x 5 n1 ∴ 123/250 is convertible into the terminating decimal End of Exe1 A Concise Rational and Irrational Numbers for ICSE Class9




Multiplying And Dividing Radical Expressions




Rationalise The Denominator 2 3 2 Brainly In
= 7 √(16×3) = 7 4√3 ( try to break it in form of (ab)2) = (2)2 (√3)2 2×2×√3 = (2√3)2 = (2√3) (2√3) 21 Question is equal to A 3 2 B C 32 D Answer 1/ √9√8 = 1/(√9 √8) × (√9 √8) / (√9√8) = √9 √8 = 3 2√2 22 Question The value ofRationalise the denominators of each of the followingi 3√5ii 32√5iii 1√12iv √2√5v √31√2vi √2√5√3vii 3√2√5 i 3√5=3×√5√5×√5=3√55=35√5ii 32√5=3×√52×√5×√5=3√ It seems that you know how to rationalise the denominator Hey multiplicative inverse of 2√3 would be 1/2√3=2√3 because sum of two multiplicative inverse results to 1 Hence we can write it in the form cd√3 where c=2 & d= 1 Share Cite Follow



Chapter 3 Rationalisation Fraction Mathematics Rational Number




Rationalise The Denominator Of The Following I 2 3sqrt3
Rationalise the Denominators of 2 √3 / 2 √3 CISCE ICSE Class 9 Question Papers 10 Textbook Solutions Important Solutions 5 Question Rationalise the denominators of ` 2 √3 / 2 √3 ` Advertisement Remove all ads Solution Show Solution Transcript If x = 1/(2 − √3), find the value of x3 − 2x2 − 7x 5 Let us first rationalise x x = 1/(2 − √3) = 1/(2 − √3) × (2 √3)/(2 √3 9 Write a pair of irrational numbers whose difference is irrational Answer √3 2 and √2 – 3 are two irrational numbers whose difference is irrational (√3 2) – (√2 – 3) = √3 – √2 2 3 = √3 – √2 5 which is irrational 10Write a pair of irrational numbers whose difference is rational Answer



Rationalize The Denominator Meaning Methods Examples




Rationalize The Denominator 4 2 3 7 Maths Polynomials Meritnation Com
Exercise 32 Question 1 Rationalise the denominator of each of the following (ivii) (i) (ii) (iii) (iv) (v) (vi) (vii) Answer (i) As there is √5 in the denominator and we know that √5 x √5 = 5 So, multiply numerator and denominator by √5, Rationalise the denominator of 2√3 / 2√3 2 See answers khanujarashmit khanujarashmit Solution is attached below But we should multiply both numerator & denominator with 2√3 (rationalising factor) So I got the answer as 7 tapdiyaunnati tapdiyaunnatiIs zero is rational number where q=o e will check if '




Rationalizing The Denominator With Variables



1
Pupils should be taught to calculate exactly with fractions, {surds} and multiples of π ;SCHOLAR Study Guide National 5 Mathematics Assessment Practice Topic 8 Surds and indices Authored by Margaret Ferguson HeriotWatt University Edinburgh EH14 4AS, United KingdomTo rationalise surds in the denominator 1 Multiply both numerator and denominator by the surd (in the denominator) 2 Simplify the expression Example A81a Rationalise the denominator of 1 √8 √8 √=22 1 √8 = 1 2√2 Multiply both numerator and denominator by √2 = 1 * √2 2√2 * √2 = √2 4




Mwydy6n8tskywm




Rationalizing The Denominator With Variables
Multiply both numerator and denominator with √3 it will be rationalize (√5×√3)/(2×√3×√3)= √15/6 Prakhar Bindal answered this Ok Now Lets Divide The Given Expression Into 3 Parts And Solve Them Individually (1 / 2√3) (2 / √5√3) ( 1 / 2√5) = 0 1st Part Rationalising Factor = 2√3 So Lets Rationalise 1 * 2√3) / (2√3 * 2√3) 2√3 / 1 = 2√3TO PROVE 1/(2√3) is irrational We can rationalize the denominator of the above expression, & then we can proceed with our proof After rationalization 1 / (2√3) * (2√3) / (2√3) = (2




Rationalise The Denominator 6 3 2 Youtube



Simplifying By Rationalising The Denominator 4 2 3 7 Studyrankersonline
The rationalizing factor of 2√3 is √3 2√3 × √3 = 2 × 3 = 6 Rationalize the Denominator Meaning Rationalizing the denominator means the process of moving a root, for instance, a cube root or a square root from the bottom of a fraction to the top of the fractionWhen we rationalise the denominator, then it becomes easy to find the sum or difference of given fractions For example, 2/√2 is a fraction that has an irrational denominator If we rationalise it, then it becomes √2 Thus, the denominator is a whole number, ie 1 Let us learn in this article how to make the denominator rational with10) Rationalise the denominator of 15 √5 ~2) 11) Rationalise the denominator of 12 √3 ~2) 12) Rationalise the




Rd Sharma Class 9 Solutions Maths Chapter 3 Rationalisation




3 2 1 2 5 3 Rationalise This Term In Briefly Brainly In
• An expression that involves irrational roots is in SURD FORM eg 2√3 • √3 2 and 3 √2 are CONJUGATE/COMPLEMENTARY surds – needed to rationalise the denominator SIMPLIFYING √ = ×√ √ = √ √ RATIONALISING THE DENOMINATOR (removing the surd in the denominator)Rationalise the denominators a) 5 √2 b) 8 √2 c) 9 √3 d) 5 √5 e) 1 1√2 f) 8 2−√5 g) 3√2 3−√2 h) 6−√5 6√5 Share this link with a friend Copied!




How To Solve Surds 2 Four Essential Surd Techniques Suresolv



Rationalize The Denominator Meaning Methods Examples




Rationalize The Denominator 2 3 5 Brainly In




Rationalize The Denominator 12 5 3 And Hence Find The Value Of A B In 12 5 3 A 5 B 3




Why Do We Rationalize The Denominator By Brett Berry Math Hacks Medium



Solved Rationalize The Denominator And Simplify The Follo Chegg Com




Example 2 Rationalize Denominators Of Fractions Simplify Ppt Video Online Download




Rationalizing The Denominator Chilimath




Rationalize The Denominator Expii




Rationalize Denominators Questions With Solutions



Q Tbn And9gcsb2rnpibjsemfefshm1leviszzhattq67fri0obpzhq J Lxfh Usqp Cau




Rationalize The Denominator 3 2 5 3 2 Brainly In




7 5 Root 3 5 Root 2 Rationalise The Denominator Youtube




Rationalise The Denominator 1 1 2 3 Maths Number Systems Meritnation Com




After Rationalizing The Denominator Of 3 12 2 3 And Simplifying We Get 2 6 3 2 M 3 5 Then The Value Of M Is




How To Rationalize Math Frac 1 Sqrt 2 Sqrt 3 Sqrt 5 Math Quora




How To Rationalize The Denominator 14 Steps With Pictures




Rationalise The Denominator Of 1 8 5 2 Rationalise The Denominat




Rd Sharma Class 9 Solutions Maths Chapter 3 Rationalisation Exercise 3 2




Rationalise The Denominator 1 Over Sqrt 3 Sqrt 2 1 And Hence Find Its Value Correct To 2 Decimal




4 Rationalize The Denominator And Simplify 2 5 A Chegg Com




Rationalise The Denominator 4 3 5 4 3 5 Youtube




Rationalise The Denominator Of The Expression Mathematics Topperlearning Com Hvx3khh




Example 2 Rationalize Denominators Of Fractions Simplify Ppt Download




Rationalise The Denominator 2 Root 5 Root 3 Root 2plz Give Complete Solution Plz Don T Spam




Rationales The Denominator And Simplify Sqrt 3 Sqrt 2 Sqrt 3 Sqrt 2 Ii 5 2sqrt 3 7 4sqrt 3 Iii 1 Sqrt 2 3 2sqrt 2 2sqrt 6 Sqrt 5 3sqrt 5 2sqrt 6 V 4sqrt 3 5sqrt 2 Sqrt 48 Sqrt 18 Vi 2sqrt 3 Sqrt 5 2sqrt




Rationalise The Denominator Of 2 Sqrt 3 Sqrt 5 Youtube




Practice Problems On Rationalizing Denominator



Rationalize Denominator 7 3 2 7 3 2 Brainly In




Rationalize The Denominator Of 3 Minus Root 2 By 3 Root 2 Brainly In



How To Rationalize The Denominator Of 1 2 1 3 2 1 3 Quora



How To Rationalize Math Frac 1 Sqrt 7 Sqrt 3 Sqrt 2 Math Quora




Simplify By Rationalizing The Denominator 3 5 7 3 3 2 Brainly In




How Do You Simplify Sqrt 15xy 3sqrt 10xy 3 Socratic



Simplifying By Rationalising The Denominator 1 3 2 5 Studyrankersonline




Multiplying And Dividing Radical Expressions



Rationalize The Denominator And Simplify I 3 2 3 2 Ii 5 2 3 7 4 3 Sarthaks Econnect Largest Online Education Community




Rationalize The Denominator Squareroot 1 2 Chegg Com




Rationalize The Denominator 6 3 2 2 3 Brainly In




After Rationalising The Denominator Of 7 3 3 2 2 We Get The Den




Rationalize Denominators Intermediate Algebra




Rationalise The Denominator Of 1 2 Sqrt 3 Youtube




Simplify By Rationalising The Denominator 7 Root 3 5 Root 2 Root 48 Root 18 Youtube




Sir Pls Solve The Following Problem Rationalize The Denominator 7 3 5 2 2 6 5 48 18 3 5 2 6 1 2 3 1 3 2 2 3 1 Mathematics Topperlearning Com Lh6vmmyy




Rationalize Denominator Calculator




Rationalise 22 2 3 5 I Am Not Getting Correct Answer Plz Tell Where I Am Wrong Maths Meritnation Com




How To Rationalize The Denominator 14 Steps With Pictures




Practice Problems On Rationalizing Denominator



Simplifying By Rationalising The Denominator 3 5 3 2 5 3 Studyrankersonline




Rationalize 1 7 3 2 Maths Questions




Rationalize The Denominator And Simplify Polynomials Maths Class 9



Rationalize The Denominator And Simplify I 3 2 3 2 Ii 5 2 3 7 4 3 Sarthaks Econnect Largest Online Education Community




Rationalise The Denominator Of 1 Root3 Root2 Brainly In




Why Do We Rationalize The Denominator By Brett Berry Math Hacks Medium




Chapter 5 Radical Expressions And Equations Ppt Download




Example 19 Rationalize The Denominator Of 5 3 5 Examples




Intro To Rationalizing The Denominator Algebra Video Khan Academy



How To Rationalise The Denominator 1 2 3 5 Quora



Q Tbn And9gcssnv O8 K4pkzode39p 4jqc5d5uagpgoo0fmn7ussrbkac4ni Usqp Cau



Rationalize The Following पर म यकरण क ज य 1 3 2 3 2 3 2 2 3 6 Snapsolve




Rd Sharma Class 9 Solutions Maths Chapter 3 Rationalisation



Rationalise The Denominator In Each Of The Following And Hence Evaluate By Taking 2 1 414 3 1 732 And 5 2 236 Up To Three Places Of Decimal Studyrankersonline




Rationales The Denominator And Simplify Sqrt 3 Sqrt 2 Sq




Rationalizing The Denominator 2 3 5 By 2 2 3 3



Rationalization Of Surds Assignment Point




Rationalize The Denominator Expii



Rationalize The Denominator And Simplify I 3 2 3 2 Ii 5 2 3 7 4 3 Sarthaks Econnect Largest Online Education Community



Rationalise The Denominator Of 1 3 2 And Hence Evaluate By Taking 2 1 414 And 3 1 732 Up To Three Places Of Decimal Studyrankersonline



Rationalize The Denominator I 1 5 Ii 2 3 7 Iii 1 3 2 Iv 1 3 5 2 2 V 12 4 3 2 Sarthaks Econnect Largest Online Education Community



1



2




Write The Rationalizing Factor Of The Denominator In 1 2 3




Intro To Rationalizing The Denominator Algebra Video Khan Academy




Example Rationalise The Denominator Of 1 7 3 Root 2




After Rationalizing The Denominator Of 2 3 5 2 2 3 3 And Simplifying We Get A 3 15 B 10 4 6 19 Then The Value Of A B Is




Rationalize The Denominator Of 1 3 2 Under Root 2 Under Root 5 Mathematics Topperlearning Com 8pvu0x66




Rationalize 2 3 5 2 2 3 3 Brainly In




Is It Correct The Question Is Rationalise The Denominator Of 1 7 3 2




How To Solve 1 1 2 2 3 Quora




Example 18 Rationalize The Denominator Of 1 2 Root 3